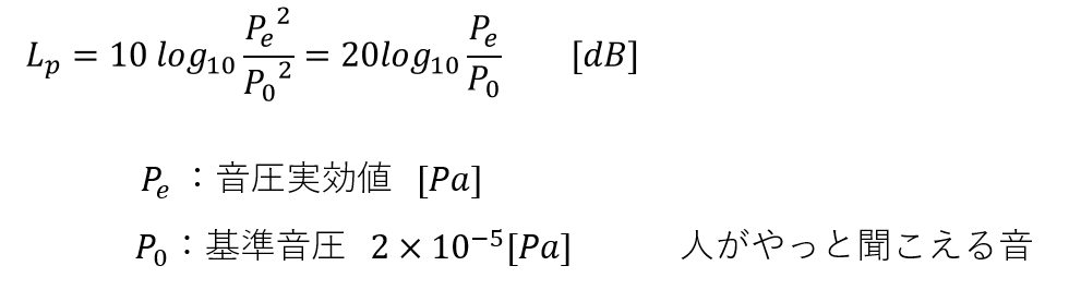
音圧レベル Lp(SPLsound pressure level)は次式で定義される音の大きさです。

騒音レベル LpA(A-weighted sound pressure level)は次式で定義される音の大きさで,A特性のフィルタを通すことで人間の聴覚に近い特性を示します。通常は騒音レベルを使います。

等価騒音レベル LAeq, T(equivalent continuous A-weighted sound pressure level) は,A特性のフィルタを通した音圧の実効値をデシベル表示したものです。騒音の大きさが変動するときに有効です。厚生労働省が定める騒音障害防止のためのガイドラインや環境省が定める騒音規制法を考慮するときに使用します。

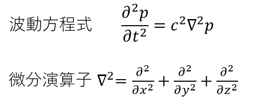
波動方程式を愚直に解く音響シミュレーションソフトウェアで騒音を予測します。波動方程式とは,圧力波(縦波)が音速で空気中を波として伝わる式です。以下に示します。

球面音波とは小さな球が音源となって,あらゆる方向に伝搬する音波です。球音源として呼吸球を用います。呼吸球とは半径がある周波数で正弦波状に変化する球で,呼吸球が球面音波の音源となります。
半径 a [m] の呼吸球の半径が速度振幅U(a)で変化しているときの音圧レベルLpは次式で表されます。

球面音波の解析モデルを図1に示します。

図2のプロットはシミュレーション結果,実線は理論解です。条件が整えばシミュレーション結果は近似値ではなく理論解を出力します。

騒音シミュレーション,ルーバ―(格子戸)の等価損失計算例も見てみてください。